As the power grid evolves to accommodate more electronic, decentralised, and energy-efficient technologies, it gains flexibility and resilience—but also faces new technical challenges. A key concern emerging from this shift is harmonic distortion, particularly as it relates to the widespread use of Consumer Energy Resources (CERs). In this article, we explore what harmonics are, how they are generated by common technologies such as variable speed drives (VSDs), solar PV and battery energy storage (BESS) inverters, and LED lighting, why they are harmful, how they are detected, and what mitigation measures are available. We also consider when harmonics might become a broader issue for distribution network service providers (DNSPs) and private network owners.
What Are Harmonics?
In an ideal power system, voltage and current waveforms are perfectly sinusoidal, oscillating smoothly at a fundamental frequency (50 Hz in Australia). Harmonics are unwanted frequencies that are integer multiples of the fundamental frequency (e.g., 150 Hz, 250 Hz, etc.) superimposed on the ideal waveform. Instead of a clean sine wave, the waveform becomes distorted, leading to a range of electrical issues.
Figure 1: Harmonic Distortion in Waveforms
Harmonics are typically introduced by non-linear loads – devices that draw current in a non-sinusoidal fashion despite being supplied with sinusoidal voltage.
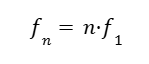
In a linear time-invariant (LTI) system under ideal conditions, current and voltage waveforms are pure sinusoids at the fundamental frequency f1=50 Hz. Harmonics arise when waveforms deviate from this ideal due to non-linear elements that introduce signals at integer multiples of the base frequency:
where n=2,3,4,
A periodic non-sinusoidal waveform x(t) can be described using Fourier series:
where:
And an and bn are Fourier coefficients that quantify the present of harmonics.
How Are Harmonics Generated?
Many modern devices and energy systems inherently introduce harmonics due to their internal electronic switching operations:
- Variable Speed Drives (VSDs): VSDs control motor speed by adjusting the frequency and voltage supplied to the motor. Inside a VSD, a rectifier converts AC supply into DC. A DC link stabilises the voltage, and an inverter then reconstructs AC by switching Insulated Gate Bipolar Transistors (IGBTs) or similar semiconductor devices at high frequencies. This switching process generates non-sinusoidal currents and high-frequency components, which manifest as harmonics.
- Solar PV Inverters: Solar inverters operate similarly. They convert the DC output from solar panels into AC by rapidly switching semiconductor devices (often IGBTs or MOSFETs) according to Pulse Width Modulation (PWM) schemes. Learn more about harmonics in PV inverters and mitigation techniques.
- Battery Energy Storage System (BESS) Inverters: BESS inverters share the same operational principle as solar inverters, creating harmonics during both charging and discharging cycles due to fast switching activities required for energy conversion.
- LED Lighting: LED drivers often employ switch-mode power supplies (SMPS), which rectify and chop the AC waveform internally to maintain a steady DC output for the LEDs. These high-frequency internal circuits contribute to harmonic distortion in the local electrical network.
Figure 2: Sources of Harmonics
In all of these devices, the common cause of harmonic generation is the use of fast-switching power electronics. These switches produce abrupt changes in current (high d(i)/d(t)) which, when viewed in the frequency domain, correspond to the presence of multiple harmonics.
From a Fourier perspective, these non-sinusoidal waveforms contain a fundamental 50 Hz component along with higher-order harmonic frequencies such as 150 Hz (3rd), 250 Hz (5th), 350 Hz (7th), and so on. The sharper the waveform transitions, the more high-frequency content it contains.
How are Harmonics Captured?
Figure 3: Steps to capture the harmonics
Step 1: Start with the distorted waveform
Assume you have a periodic but non-sinusoidal waveform x(t), such as a pulsed current coming from a VSD. Even though it doesn’t look sinusoidal, it repeats every cycle.
Step 2: Calculate the Fourier Coefficients
Compute how much of each harmonic is present by integrating the waveform against sine and cosine functions:
Each value of n tells you about a specific harmonic.
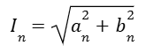
Step 3: Compute the harmonic magnitude
For each harmonic order n, the total amplitude of the harmonic is:
This value tells you how strong that harmonic is in the waveform.
Step 4: Interpret the result
If you calculate a3=0 and b3=0.42, for example, then the 3rd harmonic (150 Hz) is present as a sine wave with amplitude 0.42. If an and bn are both zero, it means that harmonic is not present.
Why Are Harmonics Harmful?
While individual harmonics from a single device might be minor, widespread adoption across a network can lead to cumulative impacts, particularly in industrial or commercial installations operating private high voltage (HV) networks.
Key risks include:
- Transformer Degradation: Harmonics cause additional heating (known as eddy current losses and stray flux heating) in transformers, accelerating insulation breakdown and shortening transformer lifespan.
- Reduced System Efficiency: Harmonics distort voltage and current, leading to energy losses and poor equipment performance.
- Equipment Malfunction: Sensitive equipment may misoperate or suffer premature failure when exposed to high harmonic distortion.
- Protection Issues: Harmonics can interfere with the correct operation of overcurrent protection and monitoring systems.
- Resonance Conditions: At certain frequencies, the grid’s natural impedance can amplify specific harmonics dramatically, leading to severe power quality issues.
At specific harmonic frequencies, resonance can occur when the network’s inductive and capacitive reactance become equal and opposite:
This makes the total impedance of an RLC branch purely resistive, as the net reactance becomes zero. The impact depends on the network topology:
- In series resonance, the impedance becomes minimal (near zero), allowing harmonic currents to spike.
- In parallel resonance, the impedance becomes extremely high, causing voltage magnification at that harmonic frequency.
When a harmonic frequency aligns with this fr, parallel resonance causes voltage magnification, while series resonance amplifies harmonic current. This effect can stress equipment, damage capacitors, and create high THD in voltage, even if individual devices are compliant.
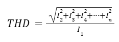
Total Harmonic Distortion (THD) is a way to measure how “dirty” or distorted a waveform is due to the presence of harmonics. It equals the square root of the sum of the squares of all harmonic components (starting from the 2nd harmonic onward), divided by the RMS value of the fundamental component.
Mathematically, that is:
I1 is the RMS value of the fundamental frequency (e.g., 50 Hz),
In are the RMS values of the nth harmonic components.
In private HV ring mains — such as those used by mining operations, manufacturing plants, and data centres — these issues can result in costly downtime and asset damage.
How to Detect
Harmonics involves specialised power quality monitoring:
- Portable Power Quality Analysers: These devices can measure total harmonic distortion (THD) and individual harmonic levels at different points in the network. They typically use fast analog-to-digital converters (ADCs) with sampling rates ≥10 kHz to detect harmonics up to the 50th or 63rd order. These analysers apply Fast Fourier Transform (FFT) algorithms to decompose signals into harmonic components, , in line with updated IEEE 519‑2022 harmonic distortion guidelines.
- Permanent Power Monitoring Systems: Installed at critical points like main switchboards or transformer outputs to continuously monitor harmonics.
- Thermal Imaging: Secondary effects like transformer overheating can be detected through routine thermal inspections.
- Waveform Analysis: Advanced systems can capture and reconstruct waveform distortions for detailed analysis.
Typically, detection focuses on THD levels, with standards like AS/NZS 61000.3.6 offering guidance on acceptable limits.
Figure 4: Harmonic Detection Tools
Mitigating Harmonics
Several strategies exist to reduce or manage harmonics:
- Passive Harmonic Filters: Use tuned inductors and capacitors to block certain harmonic frequencies. These are relatively simple but can impact power factor.
- Active Harmonic Filters: Electronic systems that inject counter-harmonics in real time to cancel out distortion. These are more effective but costlier.
They use real-time signal processing (e.g., based on instantaneous reactive power theory or synchronous reference frame theory) to compute harmonic content. The injected current Icomp(t) is computed as:
- Phase-Shifting Transformers: Help to cancel harmonics generated by similar types of equipment.
- Equipment Selection: Using low-harmonic designs of VSDs, inverters, and LED drivers where possible.
- Load Balancing: Ensuring loads are distributed evenly across phases reduces some types of harmonic impacts.
Figure 5: Mitigation Techniques of Harmonics
Tradeoffs: While harmonic filters improve waveform quality, passive filters can sometimes reduce system power factor (requiring additional correction) and active filters, though a higher quality solution, introduces additional costs and maintenance overheads.
When Will Harmonics Become a Bigger Issue?
Harmonics are already a concern in high-load, sensitive, or high-electronics environments. Over time, their impact is likely to grow as:
- More rooftop PV and behind-the-meter batteries are installed, increasing the need for strategies to solve harmonics in solar grid connections.
- Electric vehicle (EV) chargers proliferate.
- Data centres and industrial automation grow.
For DNSPs, cumulative harmonic distortion could eventually require stricter connection standards, more active network monitoring, and harmonics compliance auditing.
Private HV network owners should already be factoring harmonic distortion risks into asset management plans, especially for expensive transformers and switchgear.
Conclusion
Harmonics are an increasingly important aspect of modern power system management. Although individually small, the cumulative impact of thousands of non-linear loads can threaten the health of assets, reduce system efficiency, and cause operational disruptions. Early detection, smart engineering design, and the correct use of mitigation tools will be crucial for industrial users and grid operators alike.
Understanding harmonics today means protecting critical infrastructure tomorrow. GSES recommends assessing your own asset portfolio to understand the risks and increased monitoring and maintenance that may be required. Especially those facilities that own their own network infrastructure (e.g. industrial facilities, embedded networks, microgrids, etc.) should consider the effects of harmonics on their assets.
Want to deepen your understanding of system performance and power quality?
Explore our CPD course on Communications, Monitoring & Control of Distributed Energy Systems and stay ahead in the evolving energy landscape.
Looking to assess your grid-connected system for harmonic risks or compliance? Speak to our experts today.









